안녕하세요. 공대생 4학년인 코딩부자 입니다. 코딩부자라고 소개하고, 전력변환시스템을 공부하다니 아이러니합니다!
3학년 때 까지만 해도 SW의 길을 선택했는데, 4학년이 되어서 HW의 길로 방향을 바꿔서 그렇습니다 하하
TMI는 여기까지 하고, Buck converter의 원리를 보도록 하죠
(본 자료는 경북대학교 교수님의 자료를 바탕으로 만든 내용입니다)

Buck Converter 와 Boost Converter는 SPDT라는 회로로 이루어져있습니다. 여기서 SPDT란 Single Pole Double Throw의 약자로, 하나의 폴과 두 개의 로드를 가지고 있다고 보면 됩니다.
아래 그림을 보면 더 이해가 잘 될 겁니다!


Buck 컨버터는 위와 같이 스위치 하나, 인덕터 하나, 커패시터 하나, 저항 하나로 이루어진 컨버터 입니다. 여기서 컨버터란 교류 신호를 직류 신호로(AC -> DC)로 바꾸는 역할을 합니다. TMI 하나 더 하자면, 나중에 배울 인버터(직류 신호 -> 교류 신호)도 컨버터를 바탕으로한 회로입니다.
<이건 그냥 제 생각입니다..!>
벅 컨버터의 우측을 보면 LPF(Low-Pass-Filter)가 있는 걸 볼 수 있는데, 이 덕분에 Small Ripple Approximation을 가정할 수 있다고 생각합니다...(아닐 수 있어요 ㅠ)

벅 컨버터는 Step down 역할을 하는데, 즉 강압을 하는 컨버터 입니다. 여기서 강압이란 출력 전압을 낮춰주는 것을 의미합니다. 예를 들어 우리나라의 220v전력을 쓰는 콘센트를 일본에 110v콘센트에 꽂기 위해선 벅 컨버터를 써야한다고 생각하면 됩니다. 그 반대가 승압인데, 승압은 Boost Converter의 내용이므로, 뒤에 다뤄 보도록 하겠습니다.
그리고 우측에 그래프를 보면 M(D) = D라는 걸 볼 수 있는데, 여기서 D는 듀티사이클 비(신호 한 주기에서 ON되어 있는 비율)을 나타내며, 저는 D를 0이상 1이하로 나타냅니다.

또한 M(D)는 강압비로, 벅 컨버터에서는 듀티사이클과 같습니다. 그 이유는 밑에 가면 나옵니다..!(하하)

부스트 컨버터에 대한 내용은 배우지 않았지만, 위의 그림을 빌려서 하나만 설명해보겠습니다.
위쪽에 있는 벅 컨버터의 입력 부분은 스위치가 ON되면 전류가 흐르고, OFF되면 흐르지 않습니다. 그래서 리플성분이 크고, 출력 부분에는 이와 반대로 ON/OFF상태에서 전류가 비슷하게 흐르기 때문에 리플이 작다고 볼 수 있습니다.

또한 벅 컨버터를 이해하기 위해서 Small Ripple Approximation이라는 개념을 이용합니다. 요약하자면, 출력 전압은 출력 전압의 평균과 같다!라고 보면 됩니다. (물론 실제로 같은 건 아니고, 비슷하다!라고 봐야합니다)

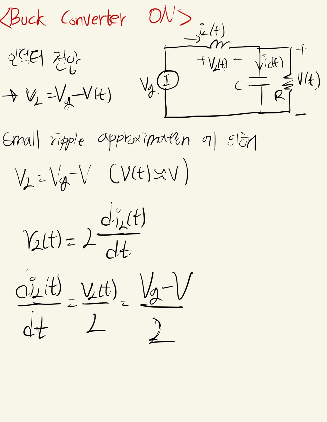
벅 컨버터를 두 가지의 경우로 나눠서 보겠습니다


벅 컨버터가 ON인 경우에는 인덕터에 에너지를 저장하고, 그 인덕터를 통해 흐르는 전류가 부하에도 전달됩니다.
벅 컨버터가 OFF인 경우에는 인덕터에 저장되어있던 에너지가 방출되고, 그로 인해 전류가 흐릅니다.


벅 컨버터의 ON/OFF경우에 대해서, 인덕터 전압 식을 이용해서 각 경우의 인덕터 전류를 구할 수 있습니다.

그리고 마지막으로 인덕턴스 까지 구하면 뚝딱!!

그리고 인덕터의 Voltage second balance Low를 통해서, 시작 부분에서 왜 M(D) = D 인지 증명할 수 있습니다.

인덕터 전압의 그래프를 퓨리에 시리즈로 변환하고, Voltage second balance low를 통해 DVg = V라는 방정식을 얻을 수 있고, 이에 따라서 출력전압/입력전압의 비가 D(듀티사이클)이 되는 것을 확인할 수 있습니다.

빠밤~~ 즉, 출력 전압이 듀티사이클에 의해 변화시킬 수 있다는 결론이 나옵니다. 즉 220v 콘센트를 꽂은 후에 출력 전압이 110v가 나오도록 하려면, 듀티사이클을 1/2만큼만 만들어 주면(반 주기만 ON하면) 된다는 겁니다.
단, 이론적으론 그러나 실제의 경우는 다릅니다.. 하하
이상으로 코딩부자의 벅 컨버터 원리 내용입니다.