반응형

안녕하세요. 공대생 4학년인 코딩부자 입니다. 코딩부자라고 소개하고, 전력변환시스템을 공부하다니 아이러니합니다!

3학년 때 까지만 해도 SW의 길을 선택했는데, 4학년이 되어서 HW의 길로 방향을 바꿔서 그렇습니다 하하

 

TMI는 여기까지 하고, Buck converter의 원리를 보도록 하죠

 

(본 자료는 경북대학교 교수님의 자료를 바탕으로 만든 내용입니다)


 

.

Buck Converter 와 Boost Converter는 SPDT라는 회로로 이루어져있습니다. 여기서 SPDT란 Single Pole Double Throw의 약자로, 하나의 폴과 두 개의 로드를 가지고 있다고 보면 됩니다.

 

아래 그림을 보면 더 이해가 잘 될 겁니다!

 

 

출처 : https://www.huimultd.com/kr/information/SPDT_Solid_State_Relay/

 

 

 

Buck 컨버터는 위와 스위치 하나, 인덕터 하나, 커패시터 하나, 저항 하나로 이루어진 컨버터 입니다. 여기서 컨버터란 교류 신호를 직류 신호로(AC -> DC)로 바꾸는 역할을 합니다. TMI 하나 더 하자면, 나중에 배울 인버터(직류 신호 -> 교류 신호)도 컨버터를 바탕으로한 회로입니다. 

 

<이건 그냥 제 생각입니다..!>

벅 컨버터의 우측을 보면 LPF(Low-Pass-Filter)가 있는 걸 볼 수 있는데, 이 덕분에 Small Ripple Approximation을 가정할 수 있다고 생각합니다...(아닐 수 있어요 ㅠ)

 

 

벅 컨버터는 Step down 역할을 하는데, 즉 강압을 하는 컨버터 입니다. 여기서 강압이란 출력 전압을 낮춰주는 것을 의미합니다. 예를 들어 우리나라의 220v전력을 쓰는 콘센트를 일본에 110v콘센트에 꽂기 위해선 벅 컨버터를 써야한다고 생각하면 됩니다. 그 반대가 승압인데, 승압은 Boost Converter의 내용이므로, 뒤에 다뤄 보도록 하겠습니다.

 

그리고 우측에 그래프를 보면 M(D) = D라는 걸 볼 수 있는데, 여기서 D는 듀티사이클 비(신호 한 주기에서 ON되어 있는 비율)을 나타내며, 저는 D를 0이상 1이하로 나타냅니다.

 

또한 M(D)는 강압비로, 벅 컨버터에서는 듀티사이클과 같습니다. 그 이유는 밑에 가면 나옵니다..!(하하)

 

 

부스트 컨버터에 대한 내용은 배우지 않았지만, 위의 그림을 빌려서 하나만 설명해보겠습니다.

위쪽에 있는 벅 컨버터의 입력 부분은 스위치가 ON되면 전류가 흐르고, OFF되면 흐르지 않습니다. 그래서 리플성분이 크고, 출력 부분에는 이와 반대로 ON/OFF상태에서 전류가 비슷하게 흐르기 때문에 리플이 작다고 볼 수 있습니다.

 

 

또한 벅 컨버터를 이해하기 위해서 Small Ripple Approximation이라는 개념을 이용합니다. 요약하자면, 출력 전압은 출력 전압의 평균과 같다!라고 보면 됩니다. (물론 실제로 같은 건 아니고, 비슷하다!라고 봐야합니다)

 

 

 

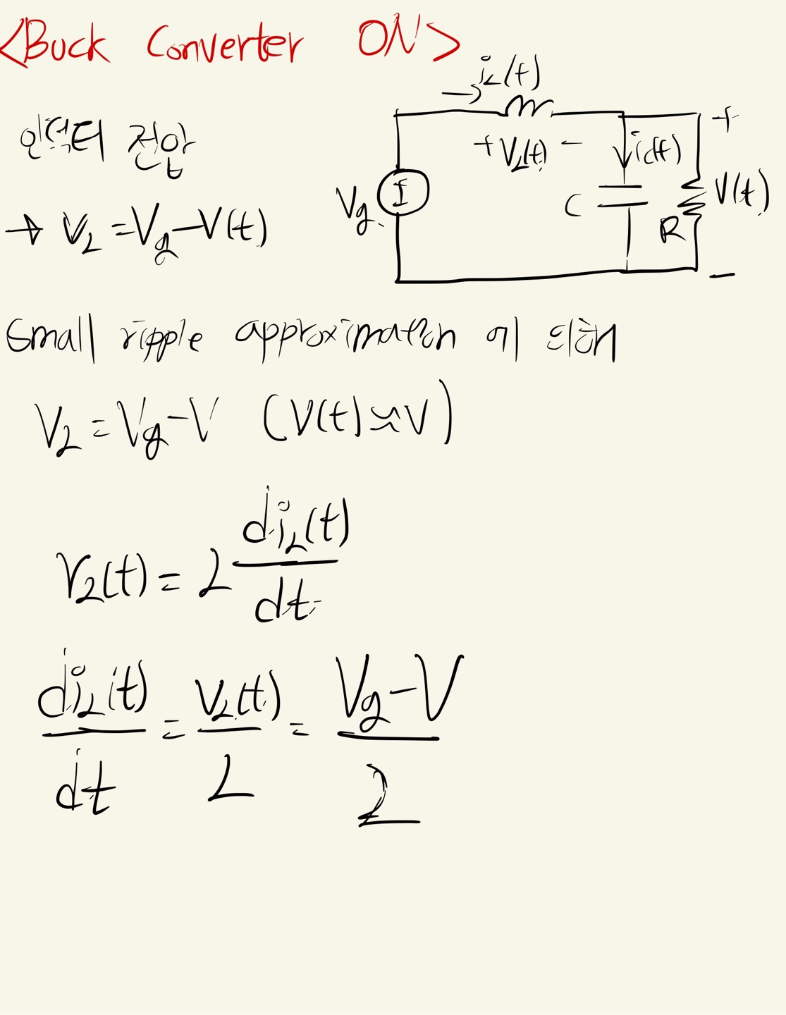
벅 컨버터를 두 가지의 경우로 나눠서 보겠습니다

 

 

벅 컨버터가 ON인 경우에는 인덕터에 에너지를 저장하고, 그 인덕터를 통해 흐르는 전류가 부하에도 전달됩니다.

벅 컨버터가 OFF인 경우에는 인덕터에 저장되어있던 에너지가 방출되고, 그로 인해 전류가 흐릅니다.

 

 

벅 컨버터의 ON/OFF경우에 대해서, 인덕터 전압 식을 이용해서 각 경우의 인덕터 전류를 구할 수 있습니다.

그리고 마지막으로 인덕턴스 까지 구하면 뚝딱!!

 

 

그리고 인덕터의 Voltage second balance Low를 통해서, 시작 부분에서 왜 M(D) = D 인지 증명할 수 있습니다.

 

 

인덕터 전압의 그래프를 퓨리에 시리즈로 변환하고, Voltage second balance low를 통해 DVg = V라는 방정식을 얻을 수 있고, 이에 따라서 출력전압/입력전압의 비가 D(듀티사이클)이 되는 것을 확인할 수 있습니다.

 

 

빠밤~~ 즉, 출력 전압이 듀티사이클에 의해 변화시킬 수 있다는 결론이 나옵니다. 즉 220v 콘센트를 꽂은 후에 출력 전압이 110v가 나오도록 하려면, 듀티사이클을 1/2만큼만 만들어 주면(반 주기만 ON하면) 된다는 겁니다.

단, 이론적으론 그러나 실제의 경우는 다릅니다.. 하하

 

 

이상으로 코딩부자의 벅 컨버터 원리 내용입니다.

반응형

+ Recent posts